所选主题与项目介绍
本次活动所选主题为电源,本项目使用Analog Devices公司生产的电源IC(ADP3335ARMZ-3.3-RL),设计了一个输入电压(2.6V-12V),输出电压(3.3V)的LDO电源模块,该模块可给工作电压为3.3V的MCU、传感器等提供电源。
硬件介绍
ADP3335是一款高精度、低功耗、兼容任何类型电容(包含MLCC)的低压差的电压稳压器芯片,其特性如下:
- 高精度:室温25℃:(+/-0.9%);室温85℃ :(+/- 1.8%);结温150℃:(+/- 2.3%)。
- 超低压差:输出电流为500mA时,压差典型值为200mV。随着负载电流值变小,压差降低。
- 仅需要一个0.1uF的输出滤波电容。
- 具有限流与过热保护功能。
- 低噪声。
- 底关断电流:典型值10nA。
- 支持宽输入电压:2.6V-12V。
- 环境温度范围:-40°—85℃。
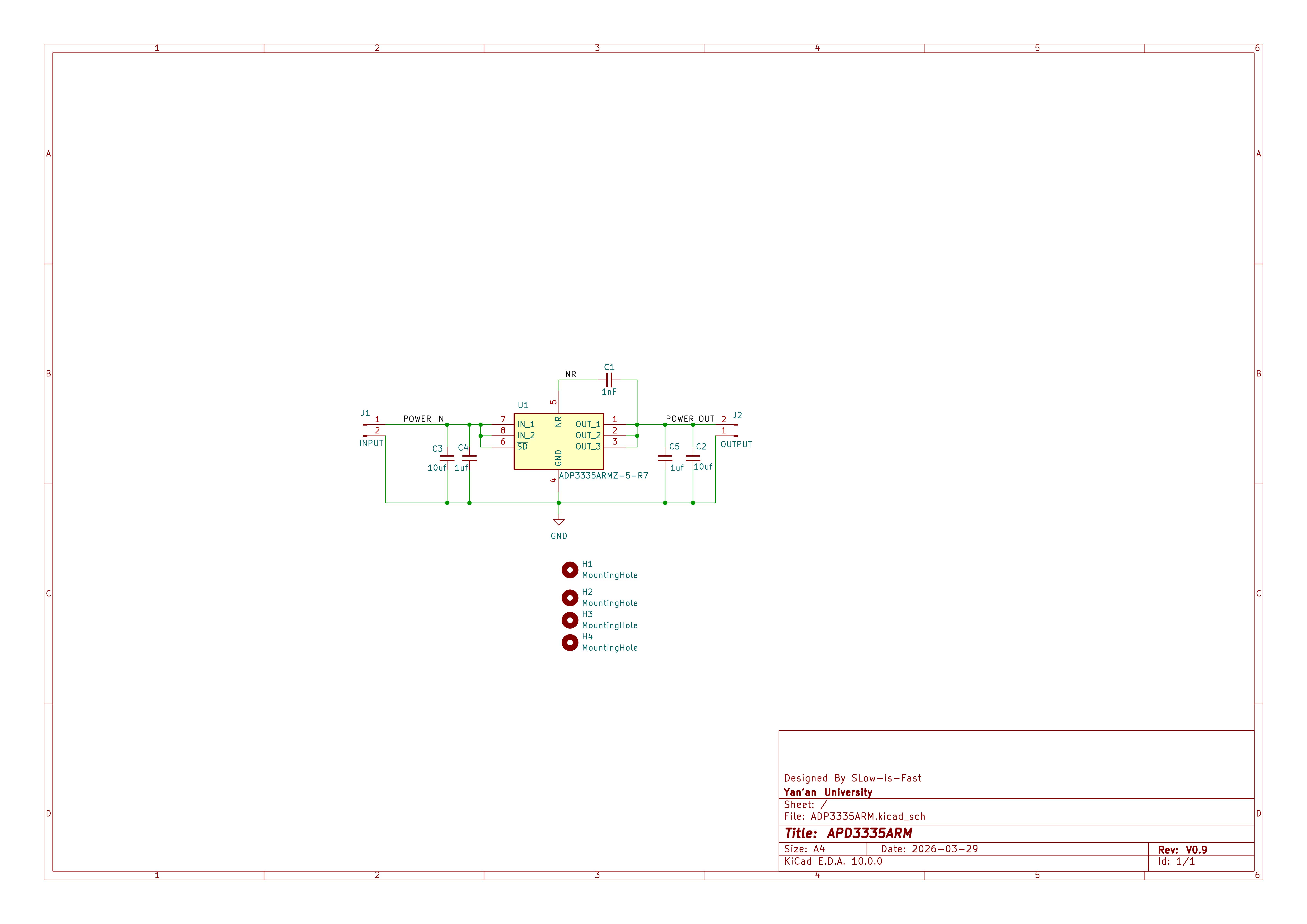
原理图和PCB Layout图

图1 原理图
通过阅读ADP3335数据手册,采用官方推荐的典型应用电路,使用Kciad EDA工具完成原理图的绘制,数据手册典型原理图如图2所示。

图2 数据手册典型应用电路

图3 PCB Layout
参考数据手册PCB布局注意事项,使用2层板完成该电路PCB绘制。数据手册PCB布局注意事项如图4。

图4 数据手册布局注意事项
项目框图
(同时芯片内置保护电路全程监测,确保供电安全稳定)。
设计思路
围绕“遵循芯片规格、简化电路设计、保障性能稳定”展开,具体分为以下4个步骤:
1. 芯片选型:结合项目需求(3.3V输出、宽输入范围、低功耗、小体积),对比多款LDO芯片后,选择ADI公司的ADP3335ARMZ-3.3-RL。该芯片具 备高精度、超低压差、低噪声、兼容MLCC电容等优势,且仅需少量外围器件,符合小型化、低成本的设计需求,同时其宽输入范围(2.6V-12V) 和宽温度范围(-40℃—85℃),能适配多种应用场景。
2. 原理图设计:严格参考ADP3335芯片数据手册中的典型应用电路,确定核心电路拓扑。重点关注输入输出电容的选型(输出仅需0.1μF MLCC电容)、引脚连接的规范性,同时补充输入限流、滤波电路,确保电路的稳定性和抗干扰能力;使用KiCad EDA工具完成原理图绘制,绘制过程中反复核对引脚定义,避免接线错误。
3. PCB Layout设计:采用2层板设计,遵循数据手册中的PCB布局注意事项,优先保证核心器件(ADP3335芯片)的布局合理性。将输入电容、输出电容尽量靠近芯片对应的引脚,缩短电流回路,减少纹波和干扰;合理规划电源层和接地层,确保接地可靠,避免地电位差影响输出精度;预留足够的焊接空间和测试点,方便后续调试和验证。
4. 调试与优化:制作PCB样品后,接入不同输入电压(2.6V、5V、12V),测试输出电压的稳定性、纹波大小;模拟不同负载情况(轻载、满载 500mA),验证模块的带载能力;测试芯片在不同温度环境下的工作状态,确认保护功能是否正常,针对测试中出现的问题(如纹波过大、输出不稳定),优化PCB布局和器件选型,最终实现设计目标。
硬件功能展示及说明


1.输入端依次接入3v3,5v,12v输出稳定的3.3v。
2.将LDO模块的输出端分别接入STM32F407VET6单片机的3.3V供电引脚和0.96OLED模块的3.3V供电引脚,单片机与OLED模块通过I2C/SPI接口连接,通电后,LDO模块输出稳定的3.3V电压,单片机正常启动,控制OLED模块显示相关信息(如“LDO供电正常”“输出电压:3.3V”等),直观验证LDO电源模块的供电稳定性和实用性。
设计中遇到难题与解决方法
问题:阅读数据手册典型应用电路时,图中管脚7未进行处理。
解决方法:查阅数据管脚功能表,管脚7应于其他IN管脚连在一起。
心得体会
项目虽小,但依然要全力以赴。